Las leyes empíricas se vinculan con las matemáticas, que describen las relaciones entre las variables de estado —presión, volumen, temperatura— en los gases; se denominan empíricas, debido a que son el resultado de observaciones y numerosos experimentos sobre distintos sistemas gaseosos.
En esta unidad, cuya duración es de una hora, revisarás una de éstas, la ley de Boyle, desde sus aspectos generales hasta el desarrollo que se sigue cuando esta ley requiere ser aplicada en problemas de impacto biológico; por ejemplo, en el proceso de inhalación, los pulmones se expanden, disminuyendo la presión de aire en su interior.

“Proceso de respiración”.
(s. a.) (s. f.). Proceso de respiración [imagen]. Tomada de https://upload.wikimedia.org/wikipedia/commons/thumb/8/8e/Inhalation_diagram.svg/572px-Inhalation_diagram.svg.png
Entre 1660 y 1662, Robert Boyle encontró, de manera experimental, que un cambio de presión en un gas produce uno en su volumen, en condiciones de temperatura constante.
Boyle demostró que, cuando la presión del gas aumentaba al doble, el volumen disminuía a la mitad, lo que mantenía la temperatura constante; de igual manera, al triplicar la presión, el volumen era la tercera parte del volumen original.
Por ejemplo:
Supón que tienes un émbolo o pistón movible, de manera que sea posible cambiar el volumen del gas dentro del cilindro si se cambia la presión externa; se puede considerar que la temperatura y la cantidad de moléculas dentro del sistema es constante.
(s. a.) (s. f.). Descripción gráfica de la ley de Boyle [imagen].
Tomada de https://upload.wikimedia.org/wikipedia/commons/thumb/2/25/2314_Boyles_Law.jpg/1024px-2314_Boyles_Law.jpg
1er. recipiente: Al aumentar el volumen, la presión disminuye. |
2do. recipiente: Al disminuir el volumen, la presión aumenta. |
En la siguiente gráfica, se puede observar el comportamiento de la ecuación de la ley de Boyle.

Gráfica de la ley de Boyle.
En la gráfica, se observa que cuando la presión ejercida sobre el gas disminuye, el volumen del gas aumenta; cuando la presión ejercida sobre el gas se acrecienta, el volumen del gas se aminora. Este proceso es isotérmico; es decir, que se lleva a cabo a temperatura constante.
La ley indica que…
La ley de Boyle se puede expresar de manera matemática de la siguiente forma:
Pi Vi = k
Pi = Presión del gas
Vi = Volumen del gas
k = Una constante arbitraria de proporcionalidad
Otra manera de expresar la ley de Boyle es:
Pi Vi = Pf Vf
Pi = Presión inicial del gas
Vi = Volumen inicial del gas
Pf = Presión final del gas
Vf = Volumen final del gas
Inicialmente, se tienen 100 ml de volumen a 1 atm de presión. Cuando la presión se cambia a 2 atm, las moléculas de agua se agrupan entre sí y el volumen se reduce a 50 ml. Si se acrecienta la presión a 4 atm, el volumen se aminora a 25 ml (Hein y Arena, 1997).

Cambios en la presión bajo la ley de Boyle.
A partir de los elementos generales de la ley y el ejemplo, revisa un ejercicio de cómo se aplica.
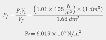
Un globo perfectamente elástico se llenó inicialmente con un gas ligero desde 1 dm3 hasta su volumen de explosión de 1.68 dm3, a nivel del mar. ¿Hasta qué presión atmosférica puede elevarse antes de explotar? Supóngase que no hay cambios en la temperatura y que la presión atmosférica a nivel del mar es 101 kP (Canales, Hernández, Meraz y Peñalosa, 1999).
Como revisaste, la ley de Boyle permite relacionar los volúmenes y presiones iniciales y finales de un gas. Ahora que conoces los aspectos básicos de la ley, realiza la siguiente actividad.
Selecciona los datos, elementos o fórmulas que correspondan a la ley de Boyle, de acuerdo con el ejercicio.
Ya que revisaste los supuestos, la expresión matemática y realizaste un ejercicio de cómo se aplica la ley de Boyle, pon a prueba lo que aprendiste.
Selecciona la opción que corresponda a la afirmación que se indica.
Fuentes de información
Bibliografía
Bahl, A., Bahl, B. S. y Tuli, G. D. (2010). Essentials of Physical Chemistry. Nueva Delhi: S. Chand Publishing.
Canales, M., Hernández, C. T., Meraz, J. S. y Peñalosa, I. (1999). Fisicoquímica (vol. 1). Ciudad de México: Escuela Nacional de Estudios Profesionales Iztacala-UNAM.
Hein, M. y Arena, S. (1997). Fundamentos de química. Ciudad de México: Cengage Learning.
Cómo citar
Valencia, I. (2019). Ley de Boyle. Unidades de Apoyo para el Aprendizaje. CUAED/FES Iztacala-UNAM. Consultado el (fecha) de (vínculo)