Las leyes empíricas se vinculan con las matemáticas, que describen las relaciones entre las variables de estado —presión, volumen, temperatura— en los gases; se denominan empíricas, debido a que son el resultado de observaciones y numerosos experimentos sobre distintos sistemas gaseosos.
En esta unidad, cuya duración es de una hora, revisarás una de éstas, la ley de Avogadro, desde sus elementos generales hasta el proceso que se sigue cuando se aplica esta ley a un problema de impacto biológico. Un ejemplo de esta ley es cuando se inflan los globos de una fiesta y existe un aumento de los moles de aire dentro del globo, así como del volumen del mismo.

(s. a.) (2013). Globos inflados [fotografía]. Tomada de https://c.pxhere.com/photos/4a/a1/party_balloons_celebration_party_happy_birthday_balloons_happy_birthday_balloons-600810.jpg!d
Esta ley de Avogadro establece que, a condiciones normales o estándar —temperatura de 0 °C y 1 atm de presión—, un mol de gas ocupará un volumen de 22.4 litros. Si la cantidad molar aumenta al doble, el volumen también se acrecentará en la misma proporción. A partir de esta ley, se puede deducir también que un mol de cualquier gas a una temperatura y presión dadas siempre tendrá el mismo volumen.
El volumen que ocupa un mol de gas a temperatura y presión estándar (TPE) recibe el nombre de volumen molar estándar, que tiene un valor de 22.414 litros por mol a TPE (Whitten, Davis, Peck y Stanley, 2014).

Volumen de un mol de cualquier compuesto gaseoso
La ley de Avogadro puede enunciarse como sigue:
De manera matemática, puede expresarse como:
Vi = Volumen del gas
ni = Número de moles
k = Una constante de proporcionalidad
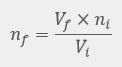
La relación entre volúmenes y moles de dos muestras de gas a la misma temperatura y presión puede representarse como:
Vi = Volumen inicial del gas
ni = Número de moles iniciales del gas
Vf = Volumen final del gas
nf = Número final de moles
Imagina que, para preparar una fiesta de cumpleaños, se te ha asignado como tarea el trabajo de inflar los globos para adornar el salón de fiestas. Entre más aire soplas al interior de cada globo, aumentará más de tamaño.

Relación entre cantidad de gas y volumen que ocupa
Éste es un ejemplo de la relación entre la cantidad de gas de una muestra y el volumen que ocupa. Esta relación fue estudiada por Amadeo Avogadro a principios del año 1800; el anterior es un ejemplo de esta ley, la cual establece que el volumen y el número de moles de un gas están directamente relacionados, en condiciones de temperatura y presión constantes.
A partir de los elementos generales de la ley y el ejemplo, revisa un ejercicio de cómo se aplica.
Encuentra el número de moles de CO2 en 2.0 l de CO2, en condiciones normales de temperatura y presión.
Como revisaste, la ley de Avogadro permite relacionar el número de moles y los volúmenes iniciales y finales de un gas. Ahora que conoces los aspectos básicos de la ley, realiza la siguiente actividad.
Selecciona los datos, elementos o fórmulas que correspondan, de acuerdo con el ejercicio.
Ya que revisaste las características y elementos de la ley de Avogadro, pon a prueba lo que aprendiste. Realiza la siguiente autoevaluación.
Fuentes de información
Bibliografía
Bahl, A., Bahl, B. S. y Tuli, G. D. (2010). Essentials of Physical Chemistry. Nueva Delhi: S. Chand Publishing.
Mascetta, J. A. y Kernion, M. (2018). Barron’s SAT subject test: Chemistry (14.a. ed.). Florida, EUA: Barron's Educational Series.
Petrucci, R. H., Herring, F. G., Madura, J. D. y Bissonnette, C. (2011). Química general (10.a ed.). Madrid: Pearson Educación.
Raymond, K. W. (2014). General, organic and biological chemistry. An integrated approach (4.a ed.). Nueva Jersey: Wiley.
Whitten, K. W., Davis, R. E., Peck, M. L. y Stanley, G. G. (2014). Química (10.a ed.). Ciudad de México: Cengage Learning.
Cómo citar
Valencia, I. (2019). Ley de Avogadro. Unidades de Apoyo para el Aprendizaje. CUAED/FES Iztacala-UNAM. Consultado el (fecha) de (vínculo)