Durante esta unidad, cuya duración es de una hora, identificarás la ley de Amagat, relacionada con las mezclas de los gases y el volumen que ocupan; esta ley es útil para el análisis de mezclas de gases; por ejemplo, el aire de la atmósfera y los tanques de oxígeno con nitrógeno para uso medicinal y buceo.

Mezcla de gases en un tanque de buceo
En 1880, Émile Hilaire Amagat publicó la ley que lleva su nombre, también llamada ley de los
volúmenes parciales. Como volúmenes parciales, se entienden aquellos que serían ocupados por los
componentes individuales de la mezcla, a una presión y temperatura dadas.
Volúmenes parciales de una mezcla
La ley indica que…
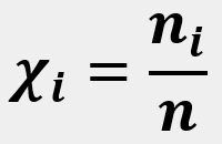
Al operar con mezclas, se hace uso de la fracción con que contribuye cada componente a la propiedad total de la mezcla. Estas contribuciones se expresan mediante la fracción molar Xi de cada componente i, la cual se define como indica la siguiente ecuación:
Xi = La fracción molar del componente i
ni= El número de moles del componente i
n = El número de moles totales
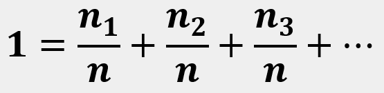
Si se hace la afirmación de que los moles totales son igual a la suma de los moles que componen la mezcla, de manera matemática, se expresa como:
n = El número de moles totales
n1, n2, n3 = Los moles componentes de la mezcla
Si dividimos toda la expresión anterior entre n, se obtiene la siguiente ecuación (Barrow, 2002):
o bien
La ecuación de las presiones parciales para dos gases A y B es:
VT = El volumen total
XA = La fracción molar del gas A
XB = La fracción molar del gas B
El volumen parcial es igual al producto de la fracción molar del gas multiplicado, por el volumen total (Bello,
2017).
y
En la industria de la soldadura, se usan mezclas de gases, como 88 % argón y 12 % de dióxido de carbono;
ésta es una mezcla que se considera ideal para el proceso de soldadura.
La ley de Amagat permite calcular el volumen de cada gas en una mezcla; por ejemplo, el de los gases
presentes en un cilindro de gas para soldadura.
Cilindro de gas para soldadura
Una mezcla de gases a 47 °C ejerce una presión de 100 atm. El porcentaje en peso de cada gas es:
N2 = 23 %
H2O = 46 %
CO2 = 31 %
¿Cuál es el volumen que ocupa la mezcla? ¿Cuál el volumen de cada gas?
A continuación, se presenta un ejemplo de aplicación de la ley de Amagat o de los volúmenes
parciales. En este caso, es posible determinar el volumen que ocupa un gas en una mezcla de gases, así
como el volumen total de la mezcla.
Selecciona los datos, elementos o fórmulas que correspondan a la ley de Amagat, de acuerdo con el ejercicio.
Ahora que revisaste los supuestos, expresión matemática y aplicaste la ley de Amagat, pon a prueba tu aprendizaje.
Selecciona la opción que corresponda con la afirmación que se indica.
Fuentes de información
Bibliografía
Barrow, M. G. (2002). Química física. Barcelona: Reverté.
Bello, I. (2017). Vacuum and Ultravacuum. Physics and Technology. Florida, EUA: CRC Press.
Cómo citar
Valencia, I. (2019). Ley de Amagat. Unidades de Apoyo para el Aprendizaje. CUAED/FES Iztacala-UNAM. Consultado el (fecha) de (vínculo)