En la actualidad, los requerimientos analíticos de las empresas avanzan rápidamente; por este motivo, se requieren modelos y algoritmos más complejos para la solución de los problemas.
Para determinar y resolver las interacciones que generen mejores procesos productivos y rindan mayores utilidades para las organizaciones es menester construir complejos modelos en los que se interrelacionan sistemas de ecuaciones y transformaciones lineales; es indispensable, entonces, conocer una variedad de herramientas que nos permitan plantear, analizar y resolver estas estructuras de manera rápida, con un cierto nivel de versatilidad y que, además, se adapten a las condiciones cambiantes de los negocios.
Es en estos entornos donde los conceptos de determinante, valores y vectores característicos encuentran un importante nicho de aplicación; por tanto, es de suma importancia conocer y dominar las técnicas matemáticas avanzadas que nos ofrece el álgebra lineal en diversos campos del conocimiento, de los cuales destaca el de la informática.
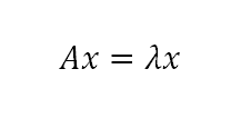
En algunas transformaciones lineales del tipo T (V) → V, se requiere encontrar los valores escalares, para los cuales la ecuación T(x) = λ(x) tiene soluciones diferentes de cero:
De la ecuación anterior, podemos definir a λ como el valor característico (o valores, ya que puede haber más de uno), también conocidos como eigenvalores, de la trasformación A; así mismo, los vectores x(diferentes al vector cero), asociados a estos valores λ, y que satisfacen la ecuación (a), se denominan vectores característicos o eigenvectores.
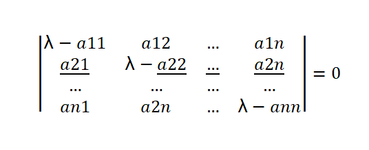
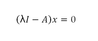
Podemos observar que los eingevalores son números que se restan a la diagonal de una matriz, y al satisfacer la ecuación (a) implica que:
| det (λI - A) = 0 |
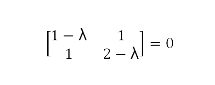
Si tenemos una matriz A:
Entonces, su determinante será:
Para obtener los eingevalores λ hacemos lo siguiente:
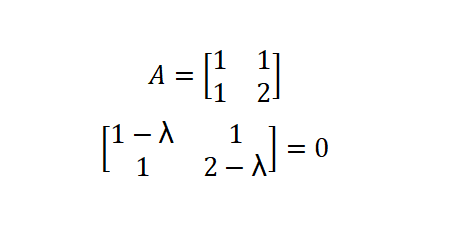
Observa un ejemplo: Calcular los eingevalores de la siguiente matriz A.
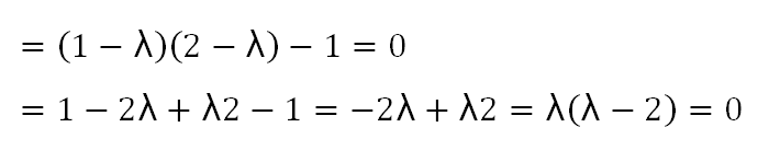
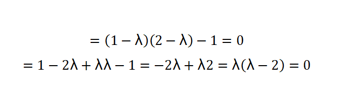
Y el determinante nos da:
De aquí obtenemos dos eingevalores: λ=0 y λ=2
aComo habíamos mencionado, un eingevector es un vector asociado a una matriz A, el cual se obtiene a partir de los eingevalores. Es decir que, para su cálculo, primero hay que obtener los eingevalores de la matriz.
Estos vectores tienen la propiedad de que dada la ecuación matricial:
Existen vectores no triviales (diferentes del vector cero) xi, con los que se cumple que:
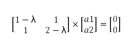
Para la obtención de los eingevectores se tienen que encontrar los valores:
De tal manera que se cumpla la siguiente expresión:
Donde a1, a2, ..., an son valores constantes.
Por ejemplo:
Calcular los eingevectores de la matriz A:
Primero obtenemos los eingevalores:
La determinante nos da:
De aquí obtenemos dos eingevalores:
Para obtener los eigenvectores:
Tenemos que para:
En el primer renglón a1 + a2 = 0 implica que a2 = -a1; en tanto que del segundo renglón tenemos que a1 + 2a1= -a1= 0; por lo que a1 = a2 = 0. De este proceso se desprende que para λ=0 tenemos el vector (0,0) o solución trivial:

Por lo tanto, para λ=2 la única solución que se tiene es la trivial, el eigenvector (0,0).
De este apartado, es importante mencionar que los conceptos de valores y vectores característicos tienen la propiedad de que dado un valor característico (eigenvalor), y un vector característico x asociados a una matriz A, se cumple que:
Es necesario decir que en la práctica las matrices relacionadas a los problemas reales son de dimensiones grandes, y bajo esta óptica la obtención de los valores y vectores característicos se debe llevar a cabo a través de la aplicación de métodos numéricos.
Una vez obtenidos los eigenvalores y los eigenvectores correspondientes, éstos pueden ser un eficaz apoyo para la aceleración de la mecánica algorítmica en la solución de un problema dado.
Actividad. Mi primer enfrentamiento con el eigenvalor y el eigenvector
Ahora ya conoces el proceso para obtener los eigenvalores y eigenvectores; te invito a que pongas a prueba tus conocimientos y te conviertas en un experto en este tema. ¡A encontrarlos!
Autoevaluación. Mi verdadero eigenvalor
Ahora que has practicado y tenido la posibilidad de encontrar los eigenvalores de distintas matrices, te sugerimos que afirmes tus conocimientos nuevamente.